BREAKING: Second Massive Population Study Finds COVID-19 "Vaccines" Increase Risk of 6 Major Cancers
South Korea study of 8.4 million adults finds higher risks of overall, lung, prostate, thyroid, gastric, colorectal, and breast cancers — across both mRNA and viral-vector platforms.
About a month ago, the first-ever population cohort study reported increased cancer risks following COVID-19 vaccination. In Italy, nearly 300,000 residents were tracked for 30 months, showing that mRNA shots significantly increased the risk of overall cancer, breast cancer, bladder cancer, and colorectal cancer.
Now, a second—and far larger—population-based cohort study by Kim et al from South Korea has corroborated and expanded upon those findings. Drawing on a massive sample of more than 8.4 million people, this is one of the most powerful cancer-safety datasets ever analyzed.
The results are striking. After accounting for age, sex, comorbidities, income level, and prior COVID-19 infection, COVID-19 vaccination was linked to significant increases in multiple major cancers, with the signal consistent across all vaccine platforms, both sexes, and age groups:
Study Design at a Glance
Design & data: Population-based retrospective cohort using the Korean National Health Insurance database (2021–2023).
Population: 8,407,849 adults.
Exposure: COVID-19 vaccination (analyzed overall and by platform: mRNA, cDNA, and heterologous schedules).
Matching: Large-scale propensity score matching (1:4 vaccinated:unvaccinated for the main analysis; 1:2 within vaccinated for booster vs non-booster).
Modeling: Multivariable Cox proportional hazards models (adjusted for age, sex, comorbidity index, income level, and prior COVID-19 infection), estimating hazard ratios (HRs) with 95% confidence intervals (CIs); analyses stratified by sex and age.
Outcome window: 1-year incidence of overall and site-specific cancers post-vaccination.
Key Results — Cancers with Significant Increases (1-year follow-up)
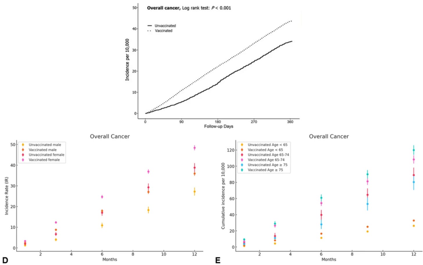
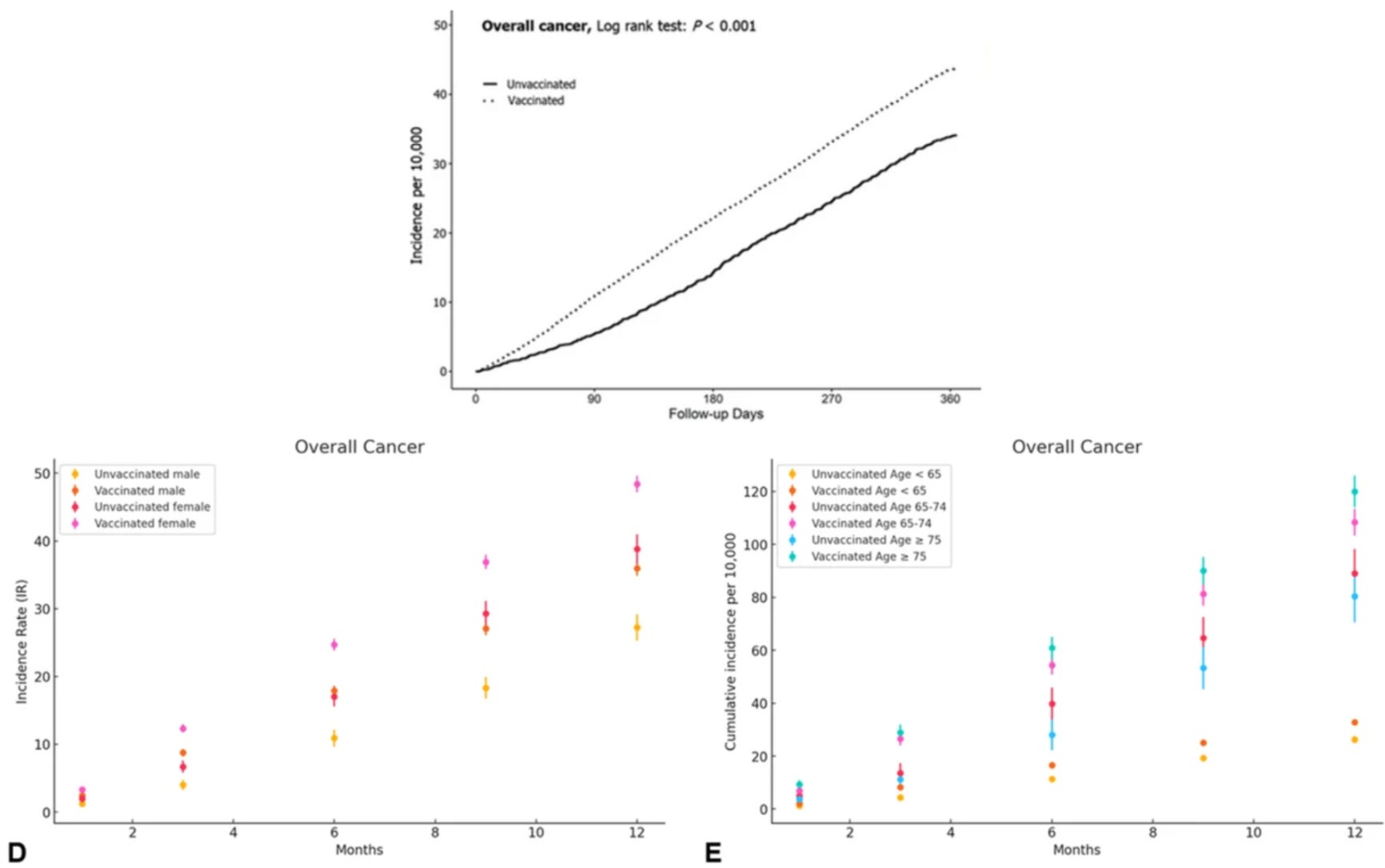
Overall cancer: HR 1.27 (95% CI, 1.21–1.33) → 27% higher risk of all cancers combined in vaccinated vs. unvaccinated at 1 year.
Lung cancer: HR 1.53 (95% CI, 1.25–1.87) → 53% higher risk
Prostate cancer: HR 1.69 (1.35–2.11) → 69% higher risk
Thyroid cancer: HR 1.35 (1.21–1.51) → 35% higher risk
Gastric (stomach) cancer: HR 1.34 (1.13–1.58) → 34% higher risk
Colorectal cancer: HR 1.28 (1.12–1.47) → 28% higher risk
Breast cancer: HR 1.20 (1.07–1.34) → 20% higher risk
Interpretation: An HR of 1.53 for lung cancer means that vaccinated individuals developed lung cancer at a rate 53% higher than matched unvaccinated peers, over the same one-year follow-up period. Similar interpretations apply to each cancer type.
By Vaccine Platform
cDNA vaccines (AstraZeneca type): linked to higher risks of thyroid, gastric, colorectal, lung, and prostate cancers.
Overall cancer HR 1.47 (95% CI 1.39–1.56) → 47% higher risk
mRNA vaccines (Pfizer/Moderna): linked to higher risks of thyroid, colorectal, lung, and breast cancers.
Overall cancer HR 1.20 (95% CI 1.14–1.26) → 20% higher risk
Heterologous (mixed schedules): linked to higher risks of thyroid and breast cancers.
Overall cancer HR 1.34 (95% CI 1.21–1.48) → 34% higher risk
Interpretation: The elevated cancer risks were not confined to one vaccine platform. Whether adenoviral-vector (cDNA), mRNA, or mixed schedules, each vaccine type was associated with a measurable increase in overall cancer — and each had specific cancer sites driving the signal. In other words, no vaccine technology was free of cancer risk in this dataset.
Booster-Dose Analysis
Gastric cancer: HR 1.23 (p = 0.041) → 23% higher risk with boosters
Pancreatic cancer: HR 2.25 (p < 0.001) → 125% higher risk with boosters
Interpretation: Booster doses were associated with notably higher risks of gastric and pancreatic cancers. For pancreatic cancer, the risk more than doubled in boosted individuals.
Overall Cancer Trends/Sex & Age Stratification
Overall cancer: Incidence was higher in the vaccinated across every demographic group.
Women showed the highest relative burden, with 48.4 per 10,000 vaccinated vs. 38.2 per 10,000 unvaccinated at one year.
Elderly adults (≥75 years) carried the greatest absolute burden, at 119.9 per 10,000 vaccinated vs. 91.7 per 10,000 unvaccinated.
Younger adults (<65 years) also experienced a clear overall increase, despite lower baseline rates.
Site-specific patterns:
Men: elevated risks for gastric and lung cancers
Women: elevated risks for thyroid and colorectal cancers
Under 65 years: stronger signals for thyroid and breast cancers
≥75 years: markedly higher risk of prostate cancer
Interpretation: Both the overall and site-specific results show a consistent pattern — every demographic group experienced elevated cancer risks, though the type and absolute burden varied. Women and the elderly were hit hardest, but no population segment was spared.
Taken together, the evidence is now impossible to ignore. The only two population-level cohort studies ever conducted on COVID-19 vaccination and cancer — one in Italy and one in South Korea — have both found major increases in cancer risk. The Italian study (≈300,000 people, 30-month follow-up) identified significant elevations in overall cancer, breast, bladder, and colorectal cancers. The South Korean study (8.4 million people, 1-year follow-up) confirmed and expanded these findings, documenting increased risks of overall cancer plus six site-specific cancers (lung, prostate, thyroid, gastric, colorectal, and breast).
Critically, the signal was observed across all vaccine types — both mRNA and viral-vector (cDNA) shots — and in every demographic group analyzed. In plain terms: both major COVID-19 vaccine platforms appear to be carcinogenic
With two independent national datasets converging on the same conclusion, governments, regulators, clinicians, and researchers must confront a sobering reality: nearly 70% of the global population has been injected with a carcinogenic product. The evidence demands immediate market withdrawal of these products.
At the McCullough Foundation, we are deeply investigating both the molecular mechanisms and the population-level data linking COVID-19 vaccination to cancer. We are currently preparing several new studies to expand this critical line of evidence. This work requires substantial time, expertise, and resources, and we ask for your support in funding this urgent research: mcculloughfnd.org/products/donate-1
Epidemiologist and Foundation Administrator, McCullough Foundation
Support our mission: mcculloughfnd.org
Please consider following both the McCullough Foundation and my personal account on X (formerly Twitter) for further content.









These studies are great to hear about, but sadly this is something that only a small percentage of the population like us, believes is true, legacy media wouldn't touch this story, I think it will take 20 years for the rest of the population to catch up on and GOD bless the souls suffering from it!!!!
I'm shocked at how many people diagnosed with cancer are already at stage 4. This isn't normal.